Germostroy.ru
Режим работы:
пн-пт : 07:00-16:30
  +7(903)136-66-75
+7(495)229-41-87
+7(495)483-72-94
germostroy@rambler.ru

Поиск по сайту

ГОСТ 20022.0-93. Защита древесины

Параметры защищенности


Издание официальное


МЕЖГОСУДАРСТВЕННЫЙ СОВЕТ ПО СТАНДАРТИЗАЦИИ, МЕТРОЛОГИИ И СЕРТИФИКАЦИИ

Минск

Предисловие

1 РАЗРАБОТАН Российской Федерацией, Техническим комитетом по стандартизации ТК 82

"Защита древесины и древесных материалов"

ВНЕСЕН Техническим секретариатом Межгосударственного Совета по стандартизации, метрологии и сертификации

2 ПРИНЯТ Межгосударственным советом по стандартизации, метрологии и сертификации

21.10.93

За принятие изменения проголосовали:



Изменение № 1 принято Межгосударственным Советом по стандартизации, метрологии и сертификации (протокол № 19 от 24.05.2001)

Зарегистрировано Бюро по стандартам МГС № 3827

3 ВЗАМЕН ГОСТ 20022.0-82

4 ИЗДАНИЕ (август 2002 г.) с Изменением № 1, принятым в ноябре 2001 г. (ИУС 2-2002)


© Издательство стандартов, 1993 © ИПК Издательство стандартов, 2002

Настоящий стандарт не может быть полностью или частично воспроизведен, тиражирован и распространен в качестве официального издания на территории Российской Федерации без разрешения Госстандарта России


Дата введения 1995-01-01

1 Область применения

Настоящий стандарт распространяется на древесину и устанавливает параметры защищенности объектов защиты от биологического разрушения. Термины и определения - по ГОСТ 20022.1.

2 Нормативные ссылки

В настоящем стандарте использованы ссылки на следующие стандарты:

  • ГОСТ 2770-74 Масло каменноугольное для пропитки древесины. Технические условия
  • ГОСТ 9549-80 Нафтенат меди для противогнилостных составов. Технические условия
  • ГОСТ 10835-78 Масло сланцевое для пропитки древесины. Технические условия
  • ГОСТ 20022.1-90 Защита древесины. Термины и определения
  • ГОСТ 20022.2-80 Защита древесины. Классификация
  • ГОСТ 20022.3-75 Защита древесины. Предпропиточная подготовка накалыванием
  • ГОСТ 20022.6-93 Защита древесины. Способы пропитки
  • ГОСТ 23787.1-84 Растворы антисептического препарата ХМК. Технические требования, требования безопасности и методы анализа
  • ГОСТ 23787.8-80 Растворы антисептического препарата ХМ-11. Технические требования, требования безопасности и методы анализа
  • ГОСТ 23787.9-84 Растворы антисептического препарата ХМФ. Технические требования, требования безопасности и методы анализа
  • ГОСТ 28815-90 Растворы водные защитных средств для древесины. Технические условия
  • ТУ 6-15-1423-84 Средство для защиты древесины от гниения и возгорания "Сенеж"
  • ТУ 65.14-21-84 Паста антисептическая на каменноугольном лаке
  • ТУ 65.14-05-48-84 Паста антисептическая на лигносульфонатах технических
  • ТУ 113-08-582-85 Аммоний кремнефтористый
  • ТУ 113-08-586-86 Натрий фтористый
  • ТУ 113-08-587-86 Натрий кремнефтористый
  • ТУ 201-03-119-92 Аквабор
  • 3 Обозначения и сокращения

    3.1 В настоящем стандарте приняты следующие условные обозначения способов пропитки древесины по ГОСТ 20022.6:

    ВДВ - вакуум - давление - вакуум;

    ВАДВ - вакуум - атмосферное давление - вакуум;

    ППВ - прогрев паром - холодная ванна;

    ПВ - прогрев (раствором) - холодная ванна;

    Вп - вымачивание, индекс п - продолжительность выдержки в часах;

    НПП - погружение в раствор, индекс п - продолжительность погружения в секундах или минутах;

    ГОСТ 20022.0-93

    НОб - диффузионная пропитка нанесением защитных средств на поверхность;

    НОб-ДВ - диффузионная пропитка нанесением защитных средств на поверхность с последующей диффузионной выдержкой;

    Пп - панельная пропитка, индекс п - продолжительность выдержки в сутках;

    ДДВ-Н - давление - давление - вакуум с предпропиточным накалыванием древесины;

    ВДВ-Н - вакуум - давление - вакуум с предпропиточным накалыванием древесины;

    ДВ - давление - вакуум;

    ДВ-Н - давление - вакуум с предпропиточным накалыванием древесины;

    НОк - опрыскивание, индекс к - кратность обработки;

    НКК - нанесение кистью, индекс к - кратность обработки.

    3.2 В настоящем стандарте приняты условные обозначения защитных средств в соответствии с нормативными документами:

    ХМФ-БФ - ГОСТ 28815;

    ХМФС - ГОСТ 28815;

    Сенеж-ТУ 6-15-1423;

    ФБС-211- ГОСТ 28815;

    БС-13- ГОСТ 28815;

    Аквабор - ТУ 201-03-119;

    КФА-ТУ 113-08-582;

    КФН-ТУ 113-08-587;

    ФН-ТУ 113-08-586;

    ХМББ-1128 - ГОСТ 28815;

    ХМББ-3324 - ГОСТ 28815;

    НМ - ГОСТ 9549;

    ББ - ГОСТ 28815;

    КМ - ГОСТ 2770;

    СМ - ГОСТ 10835;

    ХМ-11- ГОСТ 23787.8;

    ХМК-661 - ГОСТ 23787.1;

    ХМФ-221 - ГОСТ 23787.9;

    ПАФ - ТУ 65.14-21 или ТУ 65.14-05-48;

    ФБС-225 - ГОСТ 28815;

    ФБС-2515 - ГОСТ 28815.

    4 Общие положения

    4.1 Параметры защищенности объектов защиты должны соответствовать указанным в таблицах 1-4.

    (Измененная редакция, Изм. № 1).

    4.1.1 Общее поглощение защитного средства на 1 м3 в таблицах 1-3 указано:

  • для масел - в килограммах пропиточного масла;
  • для растворов защитных средств - в килограммах сухой соли.
  • Для антисептических паст в графе "Общее поглощение" дано удержание в килограммах сухой соли;

  • для препаратов нафтената меди - в килограммах нафтената меди, содержащего 9 % меди.
  • 4.1.2 Глубина пропитки в таблицах 1-3 приведена по легкопропитываемой и труднопропитываемой зонам. К легкопропитываемой зоне (ЛПЗ) относят древесину 1-й группы пропитываемое™ по ГОСТ 20022.2, а также 2-й и 3-й групп пропитываемое™, наколотую в соответствии с требованиями ГОСТ 20022.3 или пораженную деревоокрашивающими и дереворазрушающими грибами. К труднопропитываемой зоне (ТПЗ) относят древесину 2-й и 3-й групп пропитываемое™ по ГОСТ 20022.2.

    Если ширина ЛПЗ меньше указанной в таблицах 1-3 глубины пропитки, то глубина пропитки должна соответствовать ширине ЛПЗ.

    4.1.3 Буква Н при обозначении способа пропитки указывает на предпропиточную подготовку накалыванием по ГОСТ 20022.3.

    4.1.4 При обозначении нафтената меди буква М указывает его растворы в маслах или тяжелых нефтепродуктах, буква Л - растворы в легких органических растворителях.

    4.2 Кроме способов пропитки, приведенных в таблицах 1-4, допускается применять другие способы пропитки, обеспечивающие указанные в таблицах 1-4 параметры защищенности.

    4.3 В случае применения смесей каменноугольного и сланцевого масел общее поглощение и сроки службы древесины рассчитывают как средневзвешенные, исходя из соотношения компонентов.

    4.4 Допускается применять незащищенную древесину стойких к гниению пород (лиственница, дуб), обеспечивающих указанные в таблицах 1-4 средние сроки службы древесины.

    4.5 В таблицах 1-4 приведены диапазоны поглощений и удержаний защитных средств с учетом разнообразия объектов защиты в пределах каждого класса условий службы по ГОСТ 20022.2.

    Параметры защищенности применительно к конкретному объекту защиты устанавливают в нормативных документах на пропитываемую продукцию в пределах диапазонов, приведенных в таблицах 1-4, с учетом пропитываемое™ материала и особенностей условий службы. Допустимые отклонения от норм, устанавливаемых для конкретной продукции, не должны превышать по поглощению ±5 кг/м3 для масел и ±0,5 кг/м3 для сухих солей; по удержанию ±0,5 г/м2 для сухих солей.

    5 Параметры защищенности круглых лесоматериалов при консервировании

    5.1 Общее поглощение защитного средства в таблице 1 указано для круглых лесоматериалов средним диаметром 20 см и шириной заболони 30 мм.

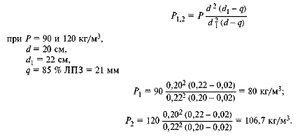
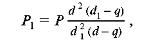
    Для лесоматериалов других диаметров общее поглощение защитного средства Рх в килограммах на кубический метр вычисляют по формуле



    где Р- общее поглощение, указанное в таблице 1, кг/м3;

    d- диаметр пропитываемых лесоматериалов, равный 20 см; dx - средний диаметр пропитываемых лесоматериалов, см; д - заданная глубина пропитки, мм. Пример пересчета общего поглощения защитного средства приведен в приложении А (пример 1).

    5.2 Для свай общее поглощение защитного средства следует увеличивать на 15-20 %.


















    6 Параметры защищенности пилопродукции толщиной 40 мм и более при консервировании

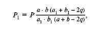
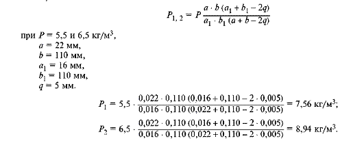
    6.1 Общее поглощение защитного средства указано в таблице 2 для брусьев сечением 180x220 мм Для пилопродукции другого сечения общее поглощение Рх в килограммах на кубический метр вычисляют по формуле



    где Р- общее поглощение, указанное в таблице 2, кг/м3;

    a1,b1- соответственно толщина и ширина сортиментов, подлежащих пропитке, мм; а,b- соответственно толщина и ширина сортимента, на который в таблице 2 приведено поглощение, мм; q - заданная глубина пропитки, мм.

    Пример пересчета общего поглощения защитного средства приведен в приложении А (пример 2).









    6.2 Для XII - XIII классов службы допускается применение древесины 2-й - 3-й групп пропитываемое™. Для получения указанных параметров пропитки пилопродукцию необходимо накалывать в соответствии с требованиями ГОСТ 20022.3.

    7 Параметры защищенности пилопродукции толщиной до 40 мм при консервировании

    7.1 Общее поглощение защитных средств в таблице 3 указано для пилопродукции сечением 22x110 мм. Для пилопродукции с другим сечением общее поглощение следует рассчитывать по формуле, указанной в 6.1.

    Пример пересчета общего поглощения защитного средства приведен в приложении А (пример 3).

    7.2 Среднетоннажные контейнеры, деревянные полы которых пропитаны препаратом ХМББ-1212 с общим поглощением не более 3 кг/м3, допускается использовать для перевозки пищевых продуктов в первичной упаковке.






































    8 Параметры защищенности при антисептировании




    ПРИЛОЖЕНИЕ А (справочное)

    Примеры пересчета общего поглощения защитных средств

    Пример 1 - Найти общее поглощение защитного средства для деревянных деталей опор линий электропередачи диаметром 22 мм, изготовляемых из древесины сосны с шириной заболони 25 мм на срок службы 40-45 лет в условиях XII класса.

    Согласно таблице 1 настоящего стандарта требуемый срок службы деревянных деталей можно обеспечить, применяя пропитку:

  • каменноугольным пропиточным маслом способом давление-давление-вакуум;
  • сланцевым маслом способом давление-вакуум;
  • защитным средством ХМ-11 способом вакуум-давление-вакуум.
  • Выбрав пропитку каменноугольным маслом способом давление-давление- вакуум, определяют общее поглощение защитного средства (Р1 2) по формуле



    Искомое общее поглощение защитного средства равно 80-107 кг/м3.

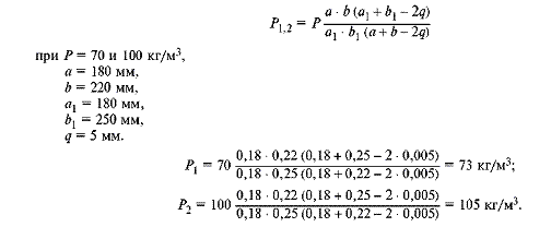
    П р и м е р 2 - Найти общее поглощение защитного средства для шпал, сечением 180x250 мм, изготовляемых из древесины ели и лиственницы на срок службы 10-15 лет в условиях Х1Ш класса.

    Согласно таблице 2 настоящего стандарта требуемый срок службы шпал можно обеспечить, применяя пропитку каменноугольным пропиточным или сланцевым маслами способом давление-давление-вакуум.

    Выбрав пропитку каменноугольным маслом, определяют общее поглощение защитного средства (Pt 2) по формуле



    Искомое общее поглощение защитного средства при пропитке еловых шпал равно 75-105 кг/м3.

    Шпалы из древесины лиственницы обеспечивают требуемый срок службы без пропитки.

    Пример 3 - Найти общее поглощение защитного средства для досок наружной обшивки (ненесущие детали) деревянных малоэтажных зданий сечением 16x110 мм, изготовляемых из заболони сосны на срок службы 30-35 лет в условиях X класса.

    Согласно таблице 3 настоящего стандарта требуемый срок службы досок можно обеспечить, применяя пропитку:

  • защитными средствами ХМББ-3324, ХМФ-БФ, ХМФС и Сенеж способом вакуум - атмосферное давление - вакуум или прогрев паром - холодная ванна.
  • Выбрав пропитку защитным средством ХМФС способом ВАДВ определяют общее поглощение защитного средства (Pt 2) по формуле



    Искомое общее поглощение защитного средства равно 7,56 и 8,94 кг/м3.


    УДК 634.0.842:006.354 МКС 71.100.50 К09

    Ключевые слова: защита древесины, параметры защищенности



     
    Москва, ул. Софьи Ковалевской, д.14а
    тел./факс:
    +7 (495) 229-41-87
    germostroy@rambler.ru

    Клеевой отдел: +7 (495) 543-26-65
     
    Герметики ·  Мастики ·  Клеи ·  Гидрофобизаторы ·  Очистители ·  ЛКМ ·  Наливные покрытия ·  Утеплители ·  Гидроизоляция ·  Огнебиозащита ·  Пены полиуретановые ·  Инструменты ·  Антикоррозийные покрытия ·  Сухие смеси ·  Составы для бетона

    Панельное домостроение ·  Монолитное и кирпичное домостроение ·  Деревянное домостроение ·  Производство стеклопакетов, монтаж окон

    Наш информационный партнер - стоительный портал www.stroyka.ru Web-mastering © Почерк.Ru, 2006-2026