Germostroy.ru
Режим работы:
пн-пт : 07:00-16:30
  +7(903)136-66-75
+7(495)229-41-87
+7(495)483-72-94
germostroy@rambler.ru

Нормирование влажностного режима наружных ограждающих конструкций

Накопление влаги в многослойных ограждающих конструкциях зданий снижает их теплозащитные свойства и оказывает деструктивное воздействие на элементы строительных конструкций в процессе их эксплуатации. Первый аспект этой проблемы является особенно актуальным в связи с возросшими требованиями к энергоэффективности конструкций в строительстве, промышленности и ЖКХ.

Б.М. Шойхет,

профессор МГСУ, заместитель директора компании «Сен-Гобен ИЗОВЕР»

Необходимость ограничения количества влаги в строительных конструкциях связана также с гигиеническими требованиями к микроклимату помещений. При избыточной влажности ограждающих конструкций зданий в углах помещений, а также в местах теплопроводных включений может образовываться плесень, оказывающая негативное влияние на здоровье человека (см. рис.).

Поэтому ограждающие конструкции зданий проектируются таким образом, чтобы содержание влаги в элементах конструкций было сведено к минимуму.

Причиной наличия влаги в строительных конструкциях являются:

  • попадание атмосферных осадков в конструкцию в процессе монтажа и эксплуатации;
  • поглощение материалом влаги из воздуха (сорбция);
  • конденсация паров воды на поверхности или внутри конструктивных элементов;
  • технологическая влага, используемая при изготовлении строительных материалов, например бетонов;
  • всасывание жидкой влаги из грунта.

В отечественной практике влияние

влаги на теплозащитные свойства строительных конструкций учитывается использованием при проектировании расчетных коэффициентов теплопроводности (КТ) при расчетной влажности материалов в условиях эксплуатации А и Б по СНиП 23-02-2003 (1) и
СП 23-101-2003 (2). Так, например, расчетное содержание влаги для минера-ловатных материалов для условий А и Б принято, соответственно, 2 и 5% по массе, для пенополистирола — 2 и 10%, фенольно-резольного пенопласта — 5 и 20%, ячеистых бетонов — 8 и 12%, кирпича глиняного обыкновенного — 1 и 2%, железобетона — 2 и 3% и др.

В СНиП 23-02 сопротивление паро-проницанию и влажностный режим строительных конструкций нормируются по двум показателям:

  • условию недопустимости накопления влаги в ограждающей конструкции за годовой период эксплуатации;
  • условию ограничения количества влаги в конструкции за период с отрицательными средними месячными температурами наружного воздуха.

С введением СП 23-101, расчетные коэффициенты теплопроводности новых материалов (не указанных в Приложении Д к СП) стали определять экспериментально для каждого вида продукции по методике Приложения Е к СП. Введение этой методики было малопродуктивным вследствие принципиальной некорректности определения КТ влажных материалов методом стационарного теплового потока и объективно низкой точности получаемых результатов измерений (3).

Низкая точность измерений по методике Приложения Е обусловлена:

  • неопределенным начальным распределением влаги в образце;
  • миграцией и перераспределением влаги в образце в процессе измерений вследствие разности температур холодной и горячей граней образца;
  • возникновением дополнительного теплового потока при конденсации влаги на холодной поверхности в измерительной зоне прибора;
  • ненормированной погрешностью измерений по этой методике.

Результаты измерений по этой методике КТ одних и тех же теплоизоляционных материалов, полученные в различных испытательных лабораториях, отличались на 20% и более.

В последние годы на рынке теплоизоляционных материалов (ТИМ) появились десятки и даже сотни новых наименований этой продукции. Для производителей ТИМ расчетные значения КТ являются важным показателем, обеспечивающим конкурентное преимущество того или иного вида продукции. Поэтому отсутствие корректного метода определения расчетного КТ создает объективные проблемы в применении ТИМ, как для производителей, так и для потребителей этой продукции в РФ.

Актуальность уточненного расчета температурно-влажностного режима и корректного определения расчетных характеристик, в первую очередь расчетного содержания влаги и расчетного КТ, существенно возросла в связи с широким применением многослойных строительных конструкций, в которых используется широкий спектр конструкционных, теплоизоляционных, гидроизоляционных и па-роизоляционных материалов с различными техническими характеристиками.

Федеральный закон №184 «О техническом регулировании» предусматривает гармонизацию отечественной нормативной базы с европейскими и международными стандартами. В соответствии с распоряжением Правительства РФ №1047 от 21 июня 2010 г. предусмотрена актуализация ряда действующих СНиП в области строительства, в частности СНиП 2302-2003 «Тепловая защита зданий», в том числе их гармонизация с европейскими и международными стандартами.

В европейской и мировой практике прогнозирование температурно-влажностного режима строительных конструкций выполняется на базе нескольких стандартов, регламентирующих как последовательность расчета, так и методику определения расчетных характеристик используемых материалов.

Расчетный коэффициент теплопроводности материалов определяется по стандарту EN (ISO) 10456 «Строительные материалы и изделия. Гидротермальные свойства. Методика определения заявленных и расчетных термических

характеристик и их табулированные расчетные значения» (4). Расчетный КТ определяется на основании измеренных в лабораторных или натурных условиях значений, с учетом влияющих в расчетных условиях эксплуатации факторов: влажности, температуры и фактора старения. В стандарте последовательно изложена методика определения расчетного КТ материалов и термического сопротивления изделий (ТС) в конструкциях и последовательность принятия решений на основе этого документа.

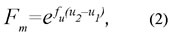
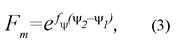
Расчетный КТ материала определяется по формуле:

если содержание влаги указано в если содержание влаги указано в долях по массе (кг/кг) и

если содержание влаги указано в если содержание влаги указано в долях по объему (м3/м3):


Следует указать, что детерминированная методика экспериментального исследования зависимости коэффициента теплопроводности строительных материалов от влажности на сегодняшний день отсутствует, как в отечественной, так и мировой практике. Эта проблема является предметом исследований в ведущих научных центрах Европы. Поэтому эмпирические коэффициенты в таблице №1 получены в результате обобщения результатов многочисленных лабораторных и натурных исследований материалов в странах ЕЭС.

Таблица №1 . Эмпирические коэффициенты в формулах 2 и 3 для теплоизоляционных материалов в стандарте EN 10456

В стандарте указано, что конкретное изделие или материал может иметь несколько расчетных значений КТ, в зависимости от вида применения (стена, покрытие) и условий эксплуатации.

В качестве известных (базовых) значений теплопроводности при определении расчетных значений КТ могут быть использованы заявленные производителем, измеренные в лабораторных или натурных условиях или табулированные значения.

Заявленные значения КТ устанавливаются на основе измерений, проведенных в стандартных условиях при температуре и влажности, указанных в стандарте.

Заявленные производителем значения могут быть непосредственно использованы в качестве расчетных (без пересчета) только в том случае, если фактические условия применения (влажность,

температура) изделий идентичны стандартным условиям, при которых определялись заявленные значения.

Во всех других случаях (когда фактические условия эксплуатации — влажность, температура — отличаются от стандартных), расчетный КТ определяется по формулам 1-3. При этом заявленные или измеренные значения пересчитываются (приводятся) к расчетным условиям. Очевидно, что расчетные условия эксплуатации материала могут быть многообразны по содержанию влаги в материале, по температуре и др. факторам.

Помимо рассмотренных выше вариантов в качестве расчетного КТ могут быть использованы табулированные значения КТ для различных материалов, приведенные в EN 10456, которые распространяются на материалы в конструкциях, работающих в условиях равновесного сорбционного влагосодержания.

Табулированное равновесное сорбцион-ное влагосодержание материалов из минеральной ваты (каменная и стекловолокно) и пенопластов (за исключением карбо-мидных пенопластов) при относительной влажности воздуха 50 и 80% и температуре 23°С в EN 10456 принято равным 0.

Сравнительный анализ результатов определения расчетного КТ для нескольких видов минераловатных материалов плотностью от 50-150 кг/м3 по СП 23-101-2003 и ЕН 10456 при расчетном массовом содержании влаги 5% (условия эксплуатации Б по СП 23-101-2003) показывает следующее:

  • расчетные значения КТ, определенные экспериментальным путем по методике СП, превышают КТ материала в сухом состоянии на 10-15%;
  • расчетные значения КТ тех же материалов, определенные по стандарту ЕН, при указанной влажности, отличаются от КТ материала в сухом состоянии на 1-1,5%.

Таким образом, определение расчетного КТ по методике СП 23-101, Приложения Е приводит к завышению (ухудшению) расчетных характеристик теплоизоляционных материалов, следствием чего является необоснованное увеличение на 10-15% толщины теплоизоляционного слоя, необходимой для обеспечения нормативных требований по тепловой защите зданий.

В европейской практике расчет температурно-влажностного режима строительных конструкций выполняется по стандартизованной инженерной методике, приведенной в EN (ISO) 13788 (5).

Стандартизованный метод расчета является упрощенным, так как не учитывает ряд важных физических эффектов (зависимость физических свойств материала от влажности, теплоту фазовых превращений влаги, перенос жидкой влаги в материале и др.). Тем не менее, метод позволяет прогнозировать влагосодержание материалов в различных видах конструкций при различных условиях эксплуатации.

Расчет выполняется для стационарных условий теплопередачи и диффузии водяного пара по методике, позволяющей установить возможность выпадения и количество конденсата в конструкции в процессе ее эксплуатации. Исходными данными при расчете являются температура и относительная влажность воздуха снаружи и внутри здания, термическое сопротивление и сопротивление паропроницанию отдельных слоев и конструкции в целом. Распределение температур по толщине конструкции рассчитывается по формулам стационарной теплопередачи. По термодинамическим таблицам определяются значения максимальной упругости водяного пара при расчетных температурах в конструкции.

По заданным значениям влажности воздуха внутри и снаружи здания и сопротивлению паропроницанию отдельных слоев конструкции рассчитывается изменение парциального давления по толщине конструкции. Если рассчитанное значение парциального давления пара в каком-либо сечении превышает значение максимальной упругости пара для этого сечения, то возникают условия для выпадения конденсата. В расчете определяется количество конденсата, образующегося в единицу времени. Одновременно с учетом сорбци-онных характеристик использованных материалов рассчитывается сорбционное увлажнение материалов в конструкции.

Температурно-влажностный режим рассчитывается для периода возможного выпадения конденсата (холодное время года) и для периода его сушки (теплое время года) при среднемесячных температурах и влажностях воздуха. По результатам расчета определяется материальный баланс влаги в конструкции и возможность ее накопления в круглогодичном цикле.

На основании результатов расчета по ЕН 13788 получают следующую информацию об эксплуатационных свойствах конструкции:

  1. Образование конденсата в конструкции не прогнозируется ни для одной граничной поверхности и ни для одного месяца, то есть влажность материалов внутри строительной конструкции определяется только их сорбционными свойствами.
  2. Конденсат образуется на одной или нескольких граничных поверхностях, но в течение летних месяцев прогнозируется его полное испарение. Расчет позволяет определить максимальное количество конденсата, который образуется в каждом слое конструкции и, соответственно, влажность материала в этом слое. При проектировании учитываются снижение теплоизоляционных свойств материалов при полученных значениях влажности и требования стандартов относительно ограничения количества влаги в конструкции из-за опасности ухудшения эксплуатационных свойств конструкции.
  3. Конденсат, образующийся в конструкции на одной или нескольких граничных поверхностях, испаряется в летние месяцы не полностью. В этом случае делается заключение, что конструкция не соответствует техническим (предъявляемым) требованиям и необходимо внести изменения в рассматриваемое техническое решение (например, включить в конструкцию дополнительный паровой барьер).

Предотвращение конденсации паров воды в конструкции достигается конструктивными методами, а именно, соответствующим расположением слоев материалов с различной паропроницаемостью и введением, при необходимости, дополнительных паровых барьеров, предотвращающих или ограничивающих конденсацию.

Выводы

С целью совершенствования методов расчета и прогнозирования влажност-ного режима ограждающих конструкций зданий и гармонизации отечественной нормативной базы в области тепловой защиты зданий с европейскими и международными стандартами представляется целесообразным:

  1. Отказаться от практики экспериментального определения расчетных коэффициентов теплопроводности материалов по СП 23-101-2003, Приложение Е.
  2. Принять раздельные показатели расчетного массового содержания влаги с учетом вида конструкций и условий их применения.
  3. Расчетные коэффициенты теплопроводности строительных материалов определять по методике стандарта ЕН 10456 (ввести в качестве Национального стандарта).
  4. Расчетную эксплуатационную влажность материалов в конструкции принимать на основании расчета влажностного режима конструкций по методике стандарта ЕН 13788 (ввести в качестве Национального стандарта).
  5. Включить ссылки на указанные стандарты в актуализированную редакцию СНиП 23-02-2003 и СП 23-101-2003.

Используемая литература

  1. СНиП 23-02-2003 «Тепловая защита зданий».
  2. СП 23-101-2003 «Проектирование тепловой защиты зданий»
  3. Б.М. Шойхет, Л.В. Ставрицкая. «О расчетных характеристиках теплоизоляционных материалов», ж. «Энергосбережение», №1/2003 г.
  4. EN (ISO) 10456 «Building materials and products -Hygrothermal properties — Tabulated design values and procedures for determining declared and design thermal values».
  5. EN (ISO) 13788 «Hygrothermal performance of building components and building elements — Internal surface temperature to avoid critical humidity and interstitial condensation — Calculation metods».

Журнал "Технологии строительства" 6-7(75-76), 2010



 
Москва, ул. Софьи Ковалевской 14а
тел./факс:
+7 (495) 229-41-87
germostroy@rambler.ru

Клеевой отдел: +7 (495) 543-26-65
 
Герметики ·  Мастики ·  Клеи ·  Гидрофобизаторы ·  Очистители ·  ЛКМ ·  Наливные покрытия ·  Утеплители ·  Гидроизоляция ·  Огнебиозащита ·  Пены полиуретановые ·  Инструменты ·  Антикоррозийные покрытия ·  Сухие смеси ·  Составы для бетона

Панельное домостроение ·  Монолитное и кирпичное домостроение ·  Деревянное домостроение ·  Производство стеклопакетов, монтаж окон

Наш информационный партнер - стоительный портал www.stroyka.ru Web-mastering © Почерк.Ru, 2006-2026