Germostroy.ru
Режим работы:
пн-пт : 07:00-16:30
  +7(903)136-66-75
+7(495)229-41-87
+7(495)483-72-94
germostroy@rambler.ru

Есть мнение Акустика и звукоизоляция Звукоизоляция остекления и акустический комфорт в помещении

Звукоизоляция остекления и акустический комфорт в помещении

Данная статья предназначена, в основном, для потребителей, заказчиков строительных объектов и проектировщиков, которым важно без излишних сложностей и углубления в теоретические основы строительной акустики правильно выбрать конструкцию остекления и произвести оценку акустического комфорта в помещениях.

Акустический комфорт является важной составляющей качества жизни. В больших городах приходится прилагать немалые усилия для обеспечения в рабочих и жилых помещениях. В строительной акустике различают два вида шумов в зависимости от пути их распространения:

  • воздушный - звуковые колебания, распространяющиеся в воздухе;
  • структурный - звуковые колебания, распространяющиеся по материалу строительных конструкций.
  • Частным случаем структурного шума является ударный шум - звуковые колебания, возникающие при непосредственном механическом воздействии на строительные конструкции. Основным источником акустического дискомфорта в городах является воздушный шум. Источники воздушного шума чрезвычайно разнообразны, но основной из них в городе - транспорт, на долю которого приходится 60 - 80% всего шума.

    ОСНОВНЫЕ СВЕДЕНИЯ 0 ФИЗИЧЕСКОЙ ПРИРОДЕ ШУМА

    Шумом принято называть любой нежелательный для человека звук - механические колебания в диапазоне слышимости человека, распространяющиеся в среде в виде волн.

    Звуковые волны, распространяясь в пространстве, образуют звуковое поле, то есть сгущения и разрежения, которые создают добавочные изменения давления по отношению к среднему значению давления в среде. Мгновенное звуковое давление представляет собой разность полного давления в некоторой точке среды в определенный момент времени и статического давления в этой же точке. В расчетах и измерениях в основном используется эффективное звуковое давление, представляющее собой среднеквадратичное значение мгновенного звукового давления.

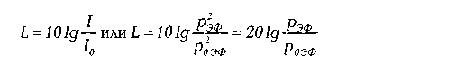
    Интенсивностью или силой звука (I) называется количество энергии, переносимой звуковой волной за единицу времени через единицу площади поверхности, нормальной к направлению распространения звуковой волны. Сила звука (Вт/кв. м) пропорциональна квадрату эффективного звукового давления:



    Человек слышит звуки в диапазоне частот 20 - 20 000 Гц. Наибольшее, воспринимаемое человеком безболезненно, звуковое давление - 1x102 Па; наименьшее, воспринимаемое звуковое давление (порогслышимости) -2хЮ~5Па. Сила звука, соответствующая порогу слышимости: 10= 10-12 Вт/м2.

    Экспериментально установлено, что увеличение силы звука в геометрической прогрессии воспринимается слухом человека в арифметической прогрессии (закон Вебера-Фехнера), поэтому для оценки воздействия звука используется логарифмическая шкала [1]. В логарифмической шкале измеряемая величина соотносится с выбранным базовым значением. Для количественной оценки силы звука используется величина уровня звука или уровня звукового давления (L):



    Если выбран к = 1, уровень звука измеряется в белах (единица измерения, названная в честь Александра Грэхема Белла, изобретателя телефона). На практике, в основном, в качестве единицы измерения логарифмических величин используется одна десятая бела - децибел (дБ), поскольку минимальный прирост громкости, воспринимаемый человеческим слухом, примерно равен 1 дБ [1]. В этом случае к = 10 и формула (2) приобретает вид:



    Из формулы (2) видно, что увеличение силы звука в 10 раз соответствует увеличению уровня звука на 10 дБ.

    Звуковые волны от разных источников складываются. При этом суммарная сила звука равна сумме сил звука от всех источников: I, = I1 + I2+I3+...

    Общий уровень звука при увеличении числа равногромких источников возрастает незначительно. Возьмем источник, сила звука которого в данной точке равна 10"6Вт/м2.



    Добавим второй такой же источник. Суммарная сила звука 1Х = Ij +12 будет равна: 1х10б + 1х106 = 2х106 Вт/кв. м. Суммарный уровень звука составит:


    Таким образом, прирост уровня звука составит всего 3 дБ. Добавление третьего источника такой же силы звука даст еще меньший прирост - на 1,8 дБ и так далее.

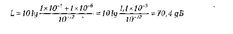
    Если имеются источники различной силы звука, то более слабый источник вносит совсем незначительный вклад в общий уровень звука. Включенному пылесосу соответствует уровень звука 70 дБ (сила звука равна 1x105 Вт/кв. м), а уровень звука громкого разговора равен 60 дБ (сила звука - 1х10"6 Вт/кв. м). Суммарный уровень звука составит:



    Таким образом, более слабый источник добавил всего 0,4 дБ в суммарный уровень звука. При наличии нескольких источников, излучающих звук с различной интенсивностью, более слабый звук "поглощается" более мощным.

    КОЛИЧЕСТВЕННАЯ ОЦЕНКА СУБЪЕКТИВНОГО ВОСПРИЯТИЯ ШУМА (ФИЗИОЛОГИЧЕСКИЕ ОСОБЕННОСТИ ВОСПРИЯТИЯ ЗВУКОВ)

    Акустические вибрации воздуха преобразуются слуховым органом человека в субъективные звуковые ощущения. Существует связь между субъективными характеристиками (восприятием) звука и соответствующими им физическими параметрами. Громкость звука - это субъективное слуховое ощущение, которое позволяет определить для звука место на шкале от "тихих" до "громких". Человеку кажется громче звук с бо лыпим звуковым давлением. Кроме того, человеческий слух имеет различную чувствительность к звуку различных частот. Зависимость субъективно воспринимаемой громкости звука от его частоты (впервые исследованная Флетчером и Мансоном) представлена на рисунке 1 в виде графика кривых равной громкости.

    Громкость звука оценивают, сравнивая ее на слух с громкостью эталонного звука (чистого тона частотой 1 000 Гц). Уровень эталонного звука (дБ), столь же громкого на слух, как и измеряемый звук, называется уровнем громкости измеряемого звука.

    Единица измерения уровня громкости называется фоном. Один фон - это уровень громкости звука, для которого уровень равно-громкого с ним эталонного звука равен 1 дБ. Таким образом, для чистого тона частотой 1 000 Гц шкала уровня громкости в фонах совпадает со шкалой уровня звука в дБ. На практике уровень громкости звуков измеряют шумомерами для всех полос частот, входящих в диапазон слышимости, и вычисляют средневзвешенный уровень громкости с учетом поправочных коэффициентов чувствитель ности слуха для каждой частотной полосы. Полученное значение уровня громкости выражается в единицах, получивших название дБА, поскольку таблица поправочных коэффициентов для разных частотных полос носит название шкалы "А". Это значение численно совпадает со значением, выраженным в фонах.

    Различные примеры шумов и соответствующие им уровни громкости приведены в таблице 1.



    Экспериментально установлено, что увеличение уровня громкости звука на 10 фон (что соответствует увеличению уровня звука на 10 дБ) субъективно воспринимается как увеличение громкости примерно в два раза. Для измерения уровня субъективно воспринимаемой громкости была разработана специальная условная линейная шкала. В этой шкале единицей измерения служит сон. 1 сон соответствует уровню громкости 40 фон. При увеличении уровня громкости на 10 фон число сон удваивается [2]. Звук громкостью в 2 сона субъективно воспринимается вдвое громче звука в 1 сон, звук в 3 сона - в полтора раза громче звука в 2 сона, звук в 6 сон - вдвое громче звука в 3 сона и т. д.

    Графически зависимость субъективной громкости (в сонах) от уровня громкости (в фонах) представлена на рисунке 2.

    В интервале 40 < L (фон) < 120 значение уровня громкости в фонах связано с величиной субъективной громкости в сонах соотношением:



    СтройПРОФИль №8(70) 2008



     
    Москва, ул. Софьи Ковалевской 14а
    тел./факс:
    +7 (495) 229-41-87
    germostroy@rambler.ru

    Клеевой отдел: +7 (495) 543-26-65
     
    Герметики ·  Мастики ·  Клеи ·  Гидрофобизаторы ·  Очистители ·  ЛКМ ·  Наливные покрытия ·  Утеплители ·  Гидроизоляция ·  Огнебиозащита ·  Пены полиуретановые ·  Инструменты ·  Антикоррозийные покрытия ·  Сухие смеси ·  Составы для бетона

    Панельное домостроение ·  Монолитное и кирпичное домостроение ·  Деревянное домостроение ·  Производство стеклопакетов, монтаж окон

    Наш информационный партнер - стоительный портал www.stroyka.ru Web-mastering © Почерк.Ru, 2006-2026